广州中考750分以上考生131人,比去年减少
广州中考750分以上考生131人,比去年减少
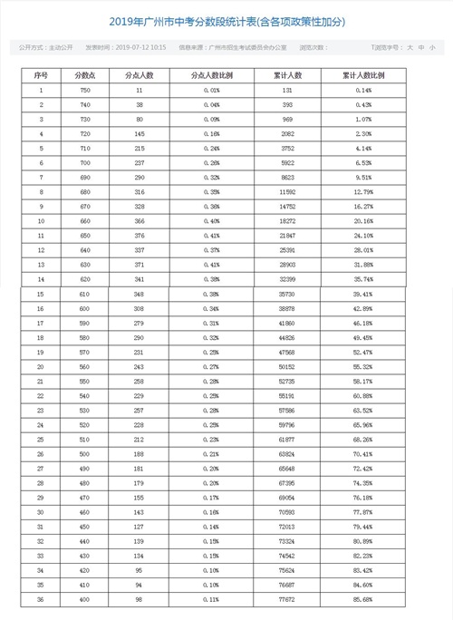
南都讯 2019年广州市中考成绩和普通高中招生各批次录取分数线今日公布。广州中考全市平均分为555分,比去年的542.91分提升了12.09分。与去年相比,高分考生人数减少。
750分以上131人,占比0.14%,去年为256人;
700分以上5922人,占比6.53%,去年为7152人;
650分以上21847人,占比42.1%;
600分以上38878人,占比42.89%。

相关标签:
-
- 阆中古城景点——滕王阁
-
2025-12-16 20:57:51
-
- 招远:龙凤峡美景醉人
-
2025-12-16 20:55:37
-
- 搞趣网:守望先锋源氏大招台词 源氏大招台词翻译
-
2025-12-16 09:29:02
-
- 《乡村四月》宋 翁卷
-
2025-12-16 09:26:47
-
- 壁纸 | 手机(电脑)端死侍系列
-
2025-12-16 09:24:34
-
- 郑州交投拟发行15亿元公司债获上交所受理
-
2025-12-16 09:22:19
-
- 作家刘静去世,曾任《父母爱情》编剧
-
2025-12-16 09:20:05
-
- 原来大学老师工资这么高啊
-
2025-12-16 09:17:50
-
- 花莲强震 台北一楼房瞬间移位倾斜靠上隔壁大楼
-
2025-12-16 09:15:36
-
- 这58部精品北京剧,你看过几部?丨图数馆
-
2025-12-16 09:13:21
-
- 葡萄花开你见过吗?
-
2025-12-16 09:11:07
-
- LG集团决定出售位于北京核心商圈的LG双子座大厦
-
2025-12-16 09:08:53
-
- 真相!金晨董又霖疑分手是什么情况?背后真相详情始末曝光
-
2025-12-16 05:14:57
-
- 袁姗姗与杨蓉终于相聚 二人合影背后有亮点!
-
2025-12-16 05:12:42
-
- 贺涵坦白爱子君唐晶朋友圈宣泄 网友骂贺涵渣男
-
2025-12-16 05:10:28
-
- 曝陈乔恩高圆圆录《大本营》花絮照 陈乔恩公主抱乔任梁
-
2025-12-16 05:08:14
-
- 苹果Mac M4 Geekbench跑分出炉
-
2025-12-16 05:06:00
-
- 携枪潜逃!文昌发生枪击案致两死一伤 嫌犯在逃
-
2025-12-16 05:03:45
-
- 朝鲜 平壤 牡丹峰景区
-
2025-12-16 05:01:31
-
- 甘肃岷县发生交通事故致6死17伤,肇事者已被公安机关控制
-
2025-12-16 04:59:16



姜昆、侯耀华、石富宽、王谦祥见到马志明怎么称呼?
裸贷肉偿是什么意思 利息越来越高根本无力偿还