误差的分析
误差的分析

定量分析(Quantitative Analysis)的任务是准确测定试样组分的含量,因此必须使分析结果具有一定的准确度。不准确的分析结果可以导致生产上的损失、资源的浪费、科学上的错误结论。
在定量分析中,由于受分析方法、测量仪器、所用试剂和分析工作者主观条件等方面的限制,使测得的结果不可能和真实含量完全一致;即使是技术很熟练的分析工作者,用最完善的分析方法和最精密的仪器,对同一样品进行多次测定,其结果也不会完全一样。这说明客观上存在着难于避免的误差。因此,人们在进行定量分析时,不仅要得到被测组分的含量,而且必须对分析结果进行评价,判断分析结果的准确性(可靠程度),检查产生误差的原因,采取减小误差的有效措施,从而不断提高分析结果的准确程度。
1、误差及其产生的原因
分析结果与真实值之间的差值称为误差。分析结果大于真实值,误差为正;分析结果小于真实值,误差为负。
根据误差的性质与产生的原因,可将误差分为系统误差和偶然误差两类。
一、系统误差
系统误差也叫可测误差,它是定量分析误差的主要来源,对测定结果的准确度有较大影响。它是由于分析过程中某些确定的、经常的因素造成的,对分析结果的影响比较固定。系统误差的特点是具有“重现性”、“单一性”和“可测性”。即在同一条件下,重复测定时,它会重复出现;使测定结果系统偏高或系统偏低,其数值大小也有一定的规律;如果能找出产生误差的原因,并设法测出其大小,那么系统误差可以通过校正的方法予以减小或消除。系统误差产生的主要原因是:
(一)方法误差
这种误差是由于分析方法本身所造成的。例如:在重量分析中,沉淀的溶解损失或吸附某些杂质而产生的误差;在滴定分析中,反应进行不完全,干扰离子的影响,滴定终点和等当点的不符合,以及其他副反应的发生等,都会系统地影响测定结果。
(二)仪器误差
主要是仪器本身不够准确或未经校准所引起的。如天平、法码和量器刻度不够准确等,在使用过程中就会使测定结果产生误差。
(三)试剂误差
由于试剂不纯或蒸馏水中含有微量杂质所引起。
(四)操作误差
主要是指在正常操作情况下,由于分析工作者掌握操作规程与正确控制条件稍有出入而引起的。例如,使用了缺乏代表性的试样;试样分解不完全或反应的某些条件控制不当等。
与上述情况不同的是,有些误差是由于分析者的主观因素造成的,称之为“个人误差” 例如,在读取滴定剂的体积时,有的人读数偏高,有的人读数偏低;在判断滴定终点颜色时,有的人对某种颜色的变化辨别不够敏锐,偏深或偏浅等所造成的误差。
二、偶然误差
偶然误差也叫不可测误差,产生的原因与系统误差不同,它是由于某些偶然的因素(如测定时环境的温度、湿度和气压的微小波动,仪器性能的微小变化等)所引起的,其影响有时大,有时小,有时正,有时负。偶然误差难以察觉,也难以控制。但是消除系统误差后,在同样条件下进行多次测定,则可发现偶然误差的分布完全服从一般的统计规律:
(一)大小相等的正、负误差出现的几率相等;
(二)小误差出现的机会多,大误差出现的机会少,特别大的正、负误差出现的几率非常小、故偶然误差出现的几率与其大小有关。
2、准确度与精密度
一、准确度与误差
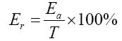
误差愈小,表示分析结果的准确度愈高,反之,误差愈大,准确度就越低。所以,误差的大小是衡量准确度高低的尺度。误差又分为绝对误差和相对误差。其表示方法如下:
绝对误差=测定值-真实

相对误差% =(绝对误差/真实值) ×100%

相对误差表示误差在测定结果中所占的百分率。分析结果的准确度常用相对误差表示。绝对误差和相对误差都有正值和负值。正值表示分析结果偏高,负值表示分析结果偏低。
二、精密度与偏差
精密度是指在相同条件下多次测定结果相互吻合的程度,表现了测定结果的重现性。精密度用“偏差”来表示。偏差越小说明分析结果的精密度越高。所以偏差的大小是衡量精密度高低的尺度。偏差也分为绝对偏差和相对偏差。
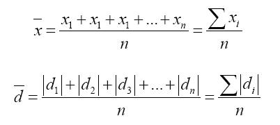
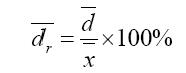
(一)绝对偏差、平均偏差和相对平均偏差
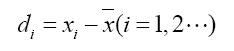
绝对偏差=个别测定值一测定平均值

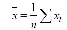
如果对同一种试样进行了n次测定,若其测得的结果分别为:x1,x2,x3,…,xn,则它们的算术平均值、算术平均偏差、和相对平均偏差分别可由以下各式计算:


(二)标准偏差
近年来,在分析化学的教学中,愈来愈广泛地采用数理统计方法来处理各种测定数据。在数理统计中,我们常把所研究对象的全体称为总体(或母体);自总体中随机抽出的一部分样品称为样本(或子样);样本中所含测量值的数目称为样本大小(或容量)。例如,我们对某一批煤中硫的含量进行分析,首先是按照有关部门的规定进行取样、粉碎、缩分,最后制备成一定数量的分析试样,这就是供分析用的总体。如果我们从中称取10份煤样进行平行测定,得到10个测定值,则这一组测定结果就是该试样总体的一个随机样本,样本容量为10。
若样本容量为n,平行测定次数分别为x1,x2,x3,…,xn,则其样本平均值为:

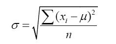
当测定次数无限增多,既n→∞时,样本平均值即为总体平均值μ:

若没有系统误差,且测定次数无限多(或实用上n>30次)时,则总体平均值μ就是真实值T。此时,用σ 代表总体标准偏差,其数学表示式为:

三、准确度和精密度的关系
从以上的讨论可知,系统误差是定量分析中误差的主要来源,它影响分析结果的准确度;偶然误差影响分析结果的精密度。获得良好的精密度并不能说明准确度就高(只有在消除了系统误差之后,精密度好,准确度才高)。
根据以上分折,我们可以知道:准确度高一定需要精密度好,但精密度好不一定准确度高。若精密度很差,说明所测结果不可靠,虽然由于测定的次数多可能使正负偏差相互抵消,但已失去衡量准确度的前提。因此,我们在评价分析结果的时候,还必须将系统误差和偶然误差的影响结合起来考虑,以提高分析结果的准确度。

-
- 荥阳这个地方为何叫701?
-
2024-10-20 00:35:31
-
- 世界头号黑客凯文·大卫·米特尼克的传奇一生
-
2024-10-20 00:33:16
-
- 让女生越来越有气质的25个微习惯
-
2024-10-20 00:31:00
-
- 民间故事:蝴蝶恋
-
2024-10-20 00:28:44
-
- 罗马共和国早期,“面包与马戏”现象的起源与发展
-
2024-10-20 00:26:29
-
- 曾志:将三个儿子送人,多年后相认,才知大儿在务农,小儿已残疾
-
2024-10-20 00:24:13
-
- 美国生活-你了解你所居住的城市吗?快来查查看!
-
2024-10-20 00:21:55
-
- 最新!西咸新区沣东新城发展规划,打造大西安新中心核心区!
-
2024-10-20 00:19:38
-
- 高考语文忘写名字,英语睡觉,高考状元林丽渊现在怎样了?
-
2024-10-20 00:17:22
-
- 南梁皇帝列表
-
2024-10-20 00:15:05
-
- 鹅,是一种乖巧的家禽 她有美丽的一面,也有焦躁的一面
-
2024-10-20 00:12:48
-
- 《喜宝》:在母亲的富养下,女儿做了情人,说“一切都并不值得”
-
2024-10-20 00:10:31
-
- 小说:草包大小姐修炼又升级了,太子、公主、抢婚妹嫉妒到抓狂
-
2024-10-20 00:08:15
-
- 刘庸:吃遍印度街头美食,凭借豪饮恒河水走红,如今不再是神话?
-
2024-10-20 00:05:58
-
- 最新的美国入境新规,所有飞往美国的乘客全部都要接受安全询问
-
2024-10-20 00:03:42
-
- 侯耀华跟郭德纲积怨太深 能否一笑泯恩仇 听听圈内人怎么说
-
2024-10-20 00:01:25
-
- 被误会“去世”三年,曾欠下千万债款的郑则仕,如今73岁喜当岳父
-
2024-10-19 23:59:09
-
- 《绝代双骄》江玉郎卑鄙好色,却因萍姑的死得了失心疯
-
2024-10-19 23:56:52
-
- 2020年日本最活跃10大男声优排行榜:《鬼灭之刃》包办一半
-
2024-10-19 23:54:35
-
- 躲在城堡里的人,你认识吗?揭秘九型人格之5号观察者
-
2024-10-19 23:52:18



8本超好看的高干文:京圈大佬对女主情有独钟的小说,好有张力!
莉萨·安(Lisa Ann)