全国铁路列车运行大调整!苏州直达重庆!终于可以躺着去重庆吃火锅了!
全国铁路列车运行大调整!苏州直达重庆!终于可以躺着去重庆吃火锅了!
铁路部门将从7月1日起
实施全国第二阶段列车运行图调整!
调图后
苏州站管内多条线路
增开日常列车至:武汉、长沙、石家庄
增开高峰列车至:合肥、南京、武汉、太原
还有增开一对列车至:重庆

01
京沪高铁线

增开列车有↓
(一)增开日常列车:
1.虹桥—汉口G1724次,苏州北12.09/11。汉口—虹桥G1723次,苏州北19.47/49。
2.虹桥—武汉G1728次,苏州北17.14/20。武汉—虹桥G1727次,苏州北15.09/11、昆山南15.22/24。
3.虹桥—长沙南G1772次,苏州北7.10/12。长沙南—虹桥G1771次,苏州北19.14/16。
4. 虹桥—长沙南G1776次,昆山南15.27/29、苏州北15.40/42。长沙南—虹桥G1775次,苏州北13.53/59、昆山南14.10/20。开行日期另定。
5.虹桥—石家庄G54次,昆山南9.35/40、苏州北9.51/54。石家庄—虹桥G53次,苏州北21.39/41。
(二)增开高峰线列车:
1.上海虹桥—合肥南G9410次,苏州北12.14/12.16。合肥南—上海虹桥G9409次,苏州北站10.53/10.55。
2.上海虹桥—南京南G9416次,昆山南18.51/15.53、苏州北19.04/19.06。南京南—上海虹桥G9415次,苏州北站22.33/22.35。
3.上海虹桥—合肥南G9418次,苏州北19.35/19.41。合肥南—上海虹桥G9421次,苏州北站12.05/12.07。
4.上海虹桥—南京南G9426次,昆山南13.40/13.51、苏州北14.02/14.04。南京南—上海虹桥G9425次,苏州北站20.47/20.49。
5.上海—六安G9430次,苏州北7.06/7.08。六安—上海G9429次,苏州北站12.42/12.52、昆山南13.04/13.15。
6.虹桥—太原南G4282次,苏州北6.08/10。
7.虹桥—武汉G4582次,苏州北17.51/53。武汉—虹桥G4581次,苏州北11.02/04。
8.虹桥—汉口G4586次,昆山南11.51/12.08、苏州北12.19/31。汉口—虹桥G4585次,苏州北21.30/32。
9.武汉—虹桥G4589次,苏州北23.23/30。

列车等级调整↓
1.虹桥—武汉D3086/D3093次一对提升为高速列车组,车次改为G1720/G1719次。上行苏州北14.14/20,取消昆山南。下行苏州北11.26/28,取消昆山南。CRH380A型重联。
2. 虹桥—驻马店西D3094/D3085次一对提升为高速列车组,车次改为G1716/G1715次。上行昆山南13.22/24、苏州北13.35/37。下行苏州北12.56/58,下行取消昆山南。CRH380A型重联。
图定列车运行区段调整↓
1.G7385次由合肥南—衢州改为合肥南—杭州东。
2.高峰G9402次由虹桥—合肥南改为虹桥—金寨。高峰G9401次由合肥南—虹桥改为金寨—杭州东。
管内办客站调整↓
增加昆山南:高峰G9402次13.27/29、高峰G9405次17.18/32、G139次19.46/48、G575次20.27/29、G676次17.49/51、G1251次19.41/43,G1825次18.50/52,G1865次19.00/16,G230次9.09/18,G1911次13.20/23,G7590次19.09/15。
增加苏州北:G141次19.43/15, G1805次13.14/16,G142次14.33/38,G1735次12.34/36,G7291次10.34/36,G7299次11.55/12.00。
取消昆山南:G141次,G1817次,G144次,G1814次,G7196次。
取消苏州北:G215次、G102次、G1251次,G7175次,G1584次。
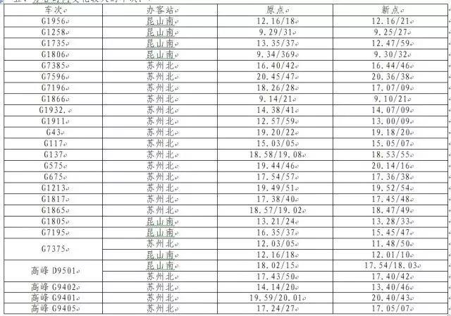
办客时间变化较大的车次↓

其他↓
1、重新公布动车组列车周末线:
北京南~上海虹桥G103/G136、G109/G144、G123/G156、G127/G160次、上海虹桥~北京南G118/G149、、G128/G159次6对直通周末线逢周五、周六、周日、周一及高峰期开行,增加了周一开行。
上海虹桥~郑州东G1826次改为周末线,逢周五、周六、周日、周一及高峰期开行。
2、高峰线:
太原南~上海虹桥G4281 G4282次、上海虹桥~武汉G4582 G4581次、上海虹桥~汉口G4586 G4585次、武汉~上海虹桥G4589 G4590次4对直通高峰线为临客运行线,根据高峰期客流情况申请调度命令开行,也可以在周末、日常有客流需要时,申请调度命令开行。
上海虹桥~金寨G9402、杭州东--金寨G9401次、合肥南~上海虹桥G9405 /G9406次、上海虹桥~合肥南G9410/G9409次、上海虹桥~南京南G9416/G9415次、上海虹桥—合肥南G9418次、合肥南--虹桥G9421次、上海虹桥~淮南东G9426/G9425次、上海~六安G9430/G9429次、上海~六安D9502/D9501次管内高峰线为临客运行线,遇客流需要时,根据调度命令开行。
2
沪宁城际线

增开高峰线列车↓
1.合肥南—虹桥G9239,苏州新区9.28/30、苏州9.37/44、苏州园区9.51/53、昆山南10.03/05。
2.上海—芜湖G9254/G9253一对。上行昆山南8.01/18、苏州8.29/32。下行苏州13.17/19、昆山南13.31/33。
3.虹桥—南京G9262/G9261一对。上行昆山南20.03/08、阳澄湖20.15/26、苏州20.35/39。下行苏州14.52/54、阳澄湖15.04/06。
4.虹桥—无锡G9264/G9263一对。上行昆山南16.05/18、苏州16.29/33。下行苏州17.41/48、昆山南18.02/04。
5.虹桥—芜湖G9268,昆山南9.29/36、苏州9.47/50。
6.安庆—虹桥G9267,苏州21.52/55、昆山南22.08/10。
7.上海—南京G9266/G9265一对。上行昆山南17.00/02、苏州17.13/15、苏州新区17.23/25。下行苏州新区15.34/35、苏州15.42/44、昆山南15.56/58。
调整列车运行区段↓
1.上海虹桥~武汉D3002/D3001次1对经汉丹线延伸运行区段为上海虹桥~襄阳东。
2. 合肥南—江山G7371次经宁蓉线延伸运行区段为金寨—江山。
3. 杭州东—合肥南G7564次经宁蓉线延伸运行区段为杭州东—金寨终到。
调整列车开行规律↓
1.G7034次、G7047次、G7035次、G7038次逢周一、二、三、四、六开行,逢周五、周日停运。
2.G7208次、G7207次逢周二、三、四、五、日开行,逢周一、六停运。
3.昆山南—上海G7215次逢周一至周五开行,逢周六、周日停运。
调整列车编组规律↓
1.G7072次、G7131次、G7140逢周一、二、三改CRH380D单组,逢周四--周日使用CRH380D型重联动车组运行;
2. G7075次由安庆、G7092次、G7091次逢周二、三、四改CRH380D单组,逢周五--周一使用CRH380D型重联动车组运行。
管内办客站调整↓
增加昆山南:D352次6.32/34,D2205次22.03/05,D2215次20.06/08,D3021次21.13/16,D3071次20.58/21.00,G7243次18.13/15,G7251次21.09/11,G7354次11.41/43,G7079次15.01/03,G7119次18.08/10。
取消昆山南:D3055次,G7040次,G7276次,G7135次。
增加苏州园区:G7083次19.04/05,G7285次增加园区19.26/28。
取消苏州园区:G7247次,G7065次,G7155次,G7217次。
其他:G7239次增加苏州新区18.21/27,G7107次增加苏州新区10.34/36,G7113次增加苏州新区12.15/17,G7247次增加阳澄湖19.17/23,G7135次增加阳澄湖15.59/16.01,G7079次取消阳澄湖,G7285次取消阳澄湖,G7163次取消苏州新区。
办客时间变化较大的车次↓

新旧交替↓
1. 6月30日苏州D635次按旧时刻、新编组运行。
2.6月30日G7100次、G7099次、G7214次按旧时刻、新编组运行。
其他↓
1.管内周末线2对逢周五、日开行:上海-南京G7098/G7097、上海-无锡G7204/G7203次。
2.上海虹桥~铜陵G9232/G9231次、上海虹桥~池州G9236/G9235次、合肥南—上海虹桥G9239次、上海~安庆G9246/G9245、上海虹桥~安庆G9250/ G9249次、上海~芜湖G9254/ G9253次、南京~上海虹桥G9261/G9262次、上海虹桥~无锡G9264/G9263次、南京~上海G9265/G9266次、上海虹桥~芜湖G9268、 安庆~虹桥G9267次管内高峰线为临客运行线,遇客流需要时,根据调度命令开行。
3
京沪普速线

增开列车↓
增开重庆北~苏州 T235/T236次1对,T235次10.20终到,T236次11.47始发。
取消列车↓
上海—重庆北K1151/K1152一对、上海—南阳K1106/K1105一对、阜阳—上海南K8361次因运行区段调整,不经京沪线,我站管内停运。
调整旅客列车经由和运行区段↓
1.银川~上海K359 K360次1对平凉~西安间改经由宝中、陇海线。
2.平顶山(信阳)~上海K463/K464次1对漯河~南京间改经由漯阜、青阜、符夹、京沪线,阜阳调向,运行区段调整为平顶山~上海。
3.石家庄北~上海K1011 K1012次1对菏泽~南京间改经由新石、京沪线,增加菏泽调向。
4.成都~上海K1155 K1156次1对合肥~南京间改经由淮南、宁芜线,芜湖、南京调向。
5. 北京南~上海D321 次运行区段调整为北京~上海。
新旧交替↓
1.7月1日苏州K371次按旧时刻运行、K372次按新时刻、旧编组运行。
2.7月1日苏州K463/K464次停运。
3.6月27日--30日苏州K1155次按旧时刻、新编组运行。
4.6月27日--30日昆山K282次按旧时刻、新编组运行。
5.7月1日苏州D321次按旧时刻运行。
其他↓
苏州—榆林K1323/K1324次淡季停运,运行及办客时刻、列车编组等相关资料开行时另行公布。

增设的列车不是去美食之城
就是去省会城市
激动地搓搓小手
好好计划一下
七月一起
搭上列车去这几座城市打卡吧~
1
武汉
武汉这座城市很大
当地人都说
紧走慢走,一天走不出汉口
这是一座风光旖旎的文化名城
也是吃货的天堂

这里有历史建筑
也有全国著名的地标性建筑
还有迷人的自然风光

糠道街、江汉路、昙华林、户部巷
聚集了武昌最好吃的店
武汉八大名小吃:
三鲜豆皮、汤包、热干面、烧麦牛肉豆丝
煨汤、糊汤粉、面窝


黄鹤楼归元寺、宝通寺、古德寺、长春观
还有一定要去的长江大桥
仿佛一秒进入了电影大片的浪漫场景
还有武大、华科、华师
漫步校园回到青葱时光

夜宵有牛杂馆子、烧烤摊子、大排档……
又是小龙虾的季节,嘬虾子、撸串、喝啤酒
还有楚河汉街的夜景
你绝对会爱上这座城

2
长沙
很多人去长沙
就是为了吃
其实这座城市
还有很多其他迷人的地方

太平街是长沙古城保留
原有街巷格局最完整的一条街
晚上到化龙池找一家酒吧喝两杯
解放西路也是长沙人潮涌动最厉害的地方

长沙也有不少历史底蕴和文化特色
岳麓书院、培荣书屋、湖南湘绣博物馆
千年书院和传承文化的书屋

最关心的还是长沙美食去哪里吃?
文庙坪、南门口、北正街
臭豆腐、酱板鸭、糖油粑粑、长沙米粉
还有这个季节最好吃的口味虾
你也会爱上长沙的麻辣直爽!

3
重庆
重庆是一座盘旋空中的8D城市
拥有着独特的魅力
列车穿楼越壑
整座城市宛如一座纪念碑谷

洪崖洞是重庆游地中热度最高的一个
现实版的《千与千寻》
具有年代感的索道长江索道
已经陪重庆走过了30年


重庆的美食也让人牵挂:
火锅、陈麻花、棒棒鸡、串串香、酸辣粉、山城小汤圆、红油抄手、钟水饺、赖汤圆、糍粑、毛血旺、水煮鱼、烤脑花、辣子鸡、油茶、干锅、蹄花汤、钵钵鸡、芋儿鸡、荤豆花、柴火鸡、梁山鸡、唐肥肠、爬爬虾、南山泉水鸡......
根本说不完!

解放碑白天人群熙熙攘攘
晚上时代广场静寂无声
鹅岭二厂文艺气息弥漫在一砖一瓦
下浩老街是重庆老街的景点风貌

当然还能感受《从你的全世界路过》
那些电影里出现的场景
或许能有别样的体验

4
南京
南京这座古城
六朝古都
这里遍布历史的痕迹
这里也有省会城市的霸气

玄武湖一定要走一圈
夫子庙的夜景灯火明亮
秦淮河边每天都很热闹
总统府庄严肃穆
明城墙上仿佛能听见马蹄声
新街口紫峰大厦让人感受这座城市的高度

去1912喝酒、湖南路吃小吃美食
去迈皋桥夜市、马台街夜市、南湖夜市夜市吃夜宵
南京的魅力在于
你走着走着就沉浸在这座城市里了

是不是心动了呢
给自己放个小暑假
赶紧约上小伙伴
开启一场美食美景之旅吧~



有温度的苏州自媒体
静下心来看苏州

苏州君个人微信态度爆文
点击查看
苏州苏州
往期精彩内容
原创精品
-
- 章子欣父亲朋友圈更新,记者发文辩护:网民看不见这家人的痛苦
-
2025-04-12 07:01:54
-
- NBA巡礼之队史最佳阵容之波士顿凯尔特人队
-
2025-04-12 06:59:38
-
- 举重英雄才力:8年夺60个冠军,退役后成保安,没钱看病33岁去世
-
2025-04-12 06:57:22
-
- 上亿观众追捧的英国恋综,出演者竟都成了网红!
-
2025-04-12 06:55:07
-
- 菲律宾:一个跌下神坛的国家,还有希望吗?
-
2025-04-12 06:52:51
-
- 与马伊琍离婚4年,文章现状令人感到唏嘘,落得这般下场怪谁呢
-
2025-04-12 06:50:35
-
- 豆瓣高分10部国产美食纪录片,干饭人必囤~宅家不无聊
-
2025-04-11 06:32:11
-
- 还记得失去双腿的“篮球女孩”钱红艳吗?22年过去了,如今她怎样
-
2025-04-11 06:29:56
-
- 综合医院全科医学科的定位与发展策略
-
2025-04-11 06:27:40
-
- 一代硕学鸿儒-顾毓琇
-
2025-04-11 06:25:24
-
- 民国名匪的故事:东北一虎谢文东
-
2025-04-11 06:23:08
-
- 演员吴若甫:事业当红时被绑架,44岁娶22岁妻,用真情感动岳父母
-
2025-04-11 06:20:52
-
- 无法搜索的城市,荒漠中的神秘之城,404城究竟是怎样的存在
-
2025-04-11 06:18:36
-
- 关于前12位罗马皇帝的生平
-
2025-04-11 06:16:21
-
- 阿尔及利亚新闻热点聚焦:第 7 届非洲国家锦标赛
-
2025-04-11 06:14:05
-
- 五百万元钞票到底有多重?!
-
2025-04-11 06:11:49
-
- 「名人百科」傻子·天子·疯子-齐文宣帝高洋
-
2025-04-11 06:09:33
-
- 从巴哈姆特之怒到冰上的尤里,能走向未来的日本动画公司之MAPPA
-
2025-04-11 06:07:17
-
- 被称为“最大武林部落”,探究争议漩涡中真实的登封武校
-
2025-04-11 06:05:02
-
- 毫无痕迹的蒸发了:釜山新婚夫妇密室失踪之谜,至今未解...
-
2025-04-11 06:02:46



8本超好看的高干文:京圈大佬对女主情有独钟的小说,好有张力!
莉萨·安(Lisa Ann)